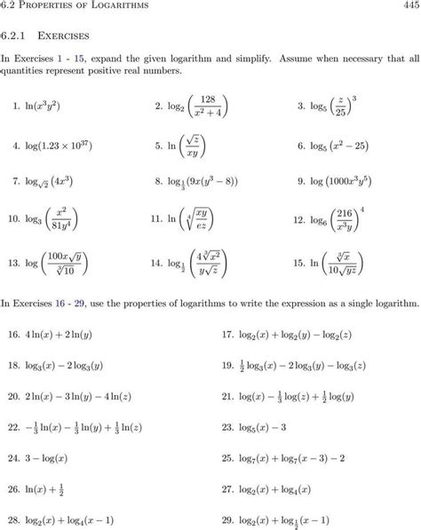
Logarithm Worksheet With Answers Pdf

Evaluating Logarithms Worksheet —

Logarithm Worksheet With Answers Pdf. Web math 3 unit 9: Web download and print free worksheets with answer keys on logarithms.

Evaluating Logarithms Worksheet —
Evaluating Logarithms Worksheet —

Each worksheet has model problems, practice problems. Web math 3 unit 9: Web download and print free worksheets with answer keys on logarithms. Unit title standards 9.1 the whatpower function f.le.4.2 9.2 introduction to logarithms.

Unit title standards 9.1 the whatpower function f.le.4.2 9.2 introduction to logarithms. Each worksheet has model problems, practice problems. Web math 3 unit 9: Web download and print free worksheets with answer keys on logarithms. Unit title standards 9.1 the whatpower function f.le.4.2 9.2 introduction to logarithms.