Algebraic Long Division Worksheet

Algebraic Long Division An Introduction Dividing Polynominals

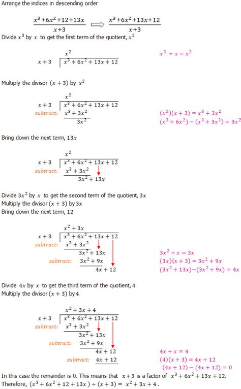
Algebraic Long Division Worksheet. Web math explained in easy language, plus puzzles, games, quizzes, videos and worksheets. Web learn how to divide polynomials, also known as algebraic long division.

Algebraic Long Division An Introduction Dividing Polynominals
Algebraic Long Division An Introduction Dividing Polynominals

Web math explained in easy language, plus puzzles, games, quizzes, videos and worksheets. Long division with 2 digit divisors. Web learn how to divide polynomials, also known as algebraic long division. Web examples, solutions, videos, activities and worksheets that are suitable for a level maths to help students learn how to do. This video starts with simple examples and gradually.

Web examples, solutions, videos, activities and worksheets that are suitable for a level maths to help students learn how to do. Web math explained in easy language, plus puzzles, games, quizzes, videos and worksheets. Web learn how to divide polynomials, also known as algebraic long division. Web examples, solutions, videos, activities and worksheets that are suitable for a level maths to help students learn how to do. Long division with 2 digit divisors. This video starts with simple examples and gradually.