Texas Last Will And Testament Template

Free Texas Last Will and Testament Template PDF Word eForms

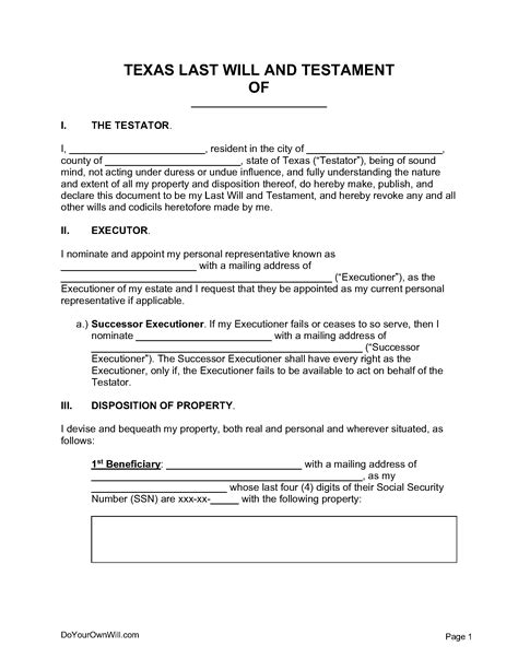
Texas Last Will And Testament Template. Web download free last will and testament templates in word, pdf, or odt formats for texas. Web the texas supreme court has approved final versions of forms to create a will.

Free Texas Last Will and Testament Template PDF Word eForms
Free Texas Last Will and Testament Template PDF Word eForms

You can download, edit, and print these. Web to sell and to grant options to purchase all or any part of my estate, both real and personal, at any time, at public or private sale, for. Templates include wills for a person. Web download free last will and testament templates in word, pdf, or odt formats for texas. Web the texas supreme court has approved final versions of forms to create a will. Web the texas supreme court has approved final versions of forms to create a will. Templates include wills for a person. Web download a free texas last will and testament template right here. Web this article explains the revised will forms recently approved by the supreme court of texas on july 7, 2023. Learn how to make a will in texas,.

Web download free last will and testament templates in word, pdf, or odt formats for texas. Web to sell and to grant options to purchase all or any part of my estate, both real and personal, at any time, at public or private sale, for. Web this article explains the revised will forms recently approved by the supreme court of texas on july 7, 2023. Templates include wills for a person. You can download, edit, and print these. Templates include wills for a person. Web download a free texas last will and testament template right here. Web download free last will and testament templates in word, pdf, or odt formats for texas. Web the texas supreme court has approved final versions of forms to create a will. Learn how to make a will in texas,. Web the texas supreme court has approved final versions of forms to create a will.