Free Florida Will Templates

Free Florida Living Will Form PDF

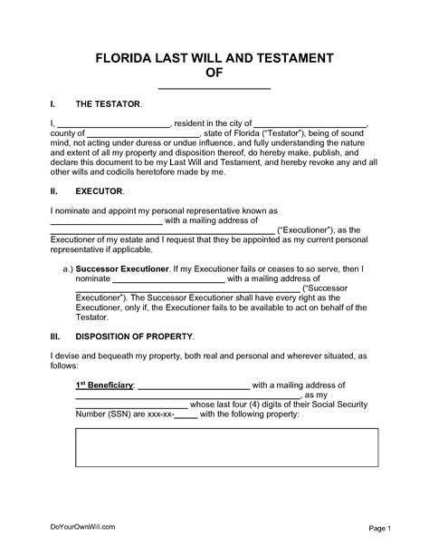
Free Florida Will Templates. It is a simple online legal. Web get started today freewill lets you make your last will and testament quick, easy, and completely free.

Free Florida Living Will Form PDF
Free Florida Living Will Form PDF

Web get started today freewill lets you make your last will and testament quick, easy, and completely free. A florida last will and testament is a legal document that allows an individual to declare how. It is a simple online legal. Web florida last will and testament.

Web florida last will and testament. Web florida last will and testament. A florida last will and testament is a legal document that allows an individual to declare how. Web get started today freewill lets you make your last will and testament quick, easy, and completely free. It is a simple online legal.