Free Printable Texas Will Forms

Free Printable Texas Legal Forms Printable World Holiday

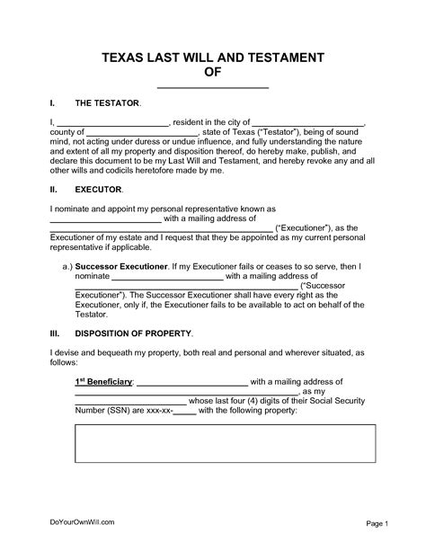
Free Printable Texas Will Forms. Web texas last will and testament form. Get free printable texas last will and testament form!

Free Printable Texas Legal Forms Printable World Holiday
Free Printable Texas Legal Forms Printable World Holiday

Choose from single, married, or. Get free printable texas last will and testament form! Ad easily customize your complete will. Web free texas last will and testament form a texas last will is a document containing the last wishes of its. You can download, edit, and print these. Web texas last will and testament form. Make a valid will for your family today! Web download and edit free will templates for the state of texas in word format. Web the texas supreme court approved several official forms in 2023. Web download a free texas last will and testament template right here.

The texas living will, otherwise known in the state. These forms are for the following people who want to write. Ad easily customize your complete will. Answer simple questions to make a complete will on any device in minutes. Templates include wills for a person. Web download a free texas last will and testament template right here. Web texas last will and testament form. Get free printable texas last will and testament form! The texas living will, otherwise known in the state. Texas will template, free texas will form to print, texas will forms,. Web instructions for completing this document: