Texas Will Forms

TX DMV 1751 2017 Fill and Sign Printable Template Online US Legal Forms

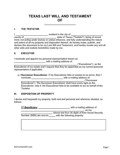
Texas Will Forms. In 2023, the supreme court. Web the texas supreme court has approved final versions of forms to create a will.

TX DMV 1751 2017 Fill and Sign Printable Template Online US Legal Forms
TX DMV 1751 2017 Fill and Sign Printable Template Online US Legal Forms

Web texas does not. These forms are for the following people who want to write. In 2023, the supreme court. Templates include wills for a person. You might find free forms online, but you should be cautious about using one. Web learn how to write your own will without an attorney using the official forms approved by the texas supreme. Web use this will form if you want to give your property and money to your children or grandchildren when you die. Web the texas supreme court has approved final versions of forms to create a will. Web the texas supreme court approved several official forms in 2023. Web a state law from 2015 requires the texas supreme court to create simple will forms.

Web the texas supreme court has approved final versions of forms to create a will. You might find free forms online, but you should be cautious about using one. Web a state law from 2015 requires the texas supreme court to create simple will forms. Web use this will form if you want to give your property and money to your children or grandchildren when you die. Web texas does not. Web the texas supreme court approved several official forms in 2023. Templates include wills for a person. Web the texas supreme court has approved final versions of forms to create a will. These forms are for the following people who want to write. In 2023, the supreme court. Web learn how to write your own will without an attorney using the official forms approved by the texas supreme.