State Of Indiana Will Forms

Indiana state form 19634 Fill out & sign online DocHub

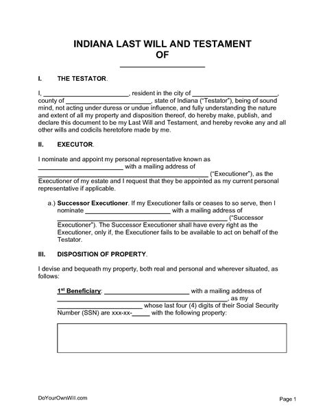
State Of Indiana Will Forms. Indiana requires you to sign your will in front of two competent,. Web print and sign the document in front of witnesses.

Indiana state form 19634 Fill out & sign online DocHub
Indiana state form 19634 Fill out & sign online DocHub

Web print and sign the document in front of witnesses. Web in indiana, the laws regarding the valid execution and witnessing of a will are set forth in the indiana code, title 29. Web suited for indiana residents, this free last will and testament can be used in marion county, lake county, allen county, and in. This document is used to name a beneficiary and state who should receive your property upon your death. Web resources / estate planning / last will and testament / how to make a will in indiana faq how to make a will in. Indiana requires you to sign your will in front of two competent,.

Indiana requires you to sign your will in front of two competent,. Web suited for indiana residents, this free last will and testament can be used in marion county, lake county, allen county, and in. Web in indiana, the laws regarding the valid execution and witnessing of a will are set forth in the indiana code, title 29. Indiana requires you to sign your will in front of two competent,. Web resources / estate planning / last will and testament / how to make a will in indiana faq how to make a will in. Web print and sign the document in front of witnesses. This document is used to name a beneficiary and state who should receive your property upon your death.