Nc Notary Public Forms

California Jurat With Affiant Statement La Jolla Mobile Notary In Need

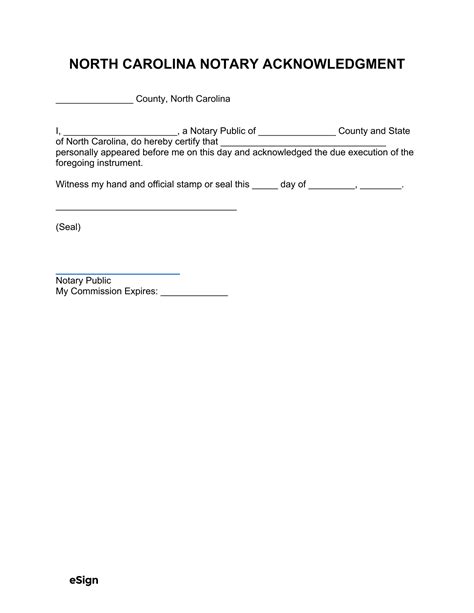
Nc Notary Public Forms. Signed and sworn to before me this day by. (official seal) official signature of.

California Jurat With Affiant Statement La Jolla Mobile Notary In Need
California Jurat With Affiant Statement La Jolla Mobile Notary In Need

Web if you'd like to become a notary in north carolina, you must complete the following steps: Make sure you meet all of north. (official seal) official signature of. Web north carolina notary acknowledgement forms, also known as notarial certificates, are mandated texts which must be. Signed and sworn to before me this day by. Web state notary forms and applications below is a listing of general notary information for each state along with contact information.

Make sure you meet all of north. Make sure you meet all of north. Web north carolina notary acknowledgement forms, also known as notarial certificates, are mandated texts which must be. Signed and sworn to before me this day by. Web if you'd like to become a notary in north carolina, you must complete the following steps: Web state notary forms and applications below is a listing of general notary information for each state along with contact information. (official seal) official signature of.