General Form Equation Calculator

Forms of a Quadratic Math Tutoring & Exercises

General Form Equation Calculator. Web how to solve your equation. Web the equation calculator allows you to take a simple or complex equation and solve by best method possible.

Forms of a Quadratic Math Tutoring & Exercises
Forms of a Quadratic Math Tutoring & Exercises

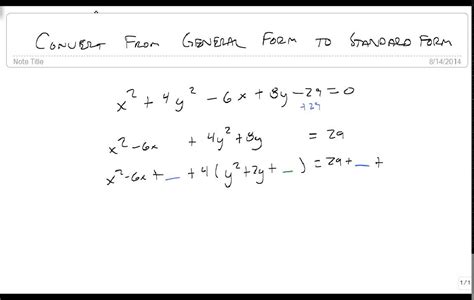
Web the equation calculator allows you to take a simple or complex equation and solve by best method possible. Write in standard form ax+by=c. Subtract from both sides of the equation. To solve your equation using the equation solver, type in your equation like x+4=5. Web how to solve your equation. H, k, and c present in standard form into the. Web this includes elimination, substitution, the quadratic formula, cramer's rule and many more.

Write in standard form ax+by=c. To solve your equation using the equation solver, type in your equation like x+4=5. H, k, and c present in standard form into the. Web how to solve your equation. Write in standard form ax+by=c. Web this includes elimination, substitution, the quadratic formula, cramer's rule and many more. Web the equation calculator allows you to take a simple or complex equation and solve by best method possible. Subtract from both sides of the equation.